[数学学习]二倍角公式是数学三角函数中常用的一组公式,下面总结了三角函数的二倍角公式,供大家参考。 1 、二倍角公式 正弦二倍角 sin2 = 2cossin 推导:sin2A = sin(A+A) = sinAcosA + cosAsinA = 2sinAcosA 余弦二倍
二倍角公式:tan2A=2tanA/[1-(tanA)^2];cos2a=(cosa)^2-(sina)^2=2(cosa)^2 -1=1-2(sina)^2;sin2A=2sinA*cosA。

三角函数二倍角公式
1、正弦形式
(1)公式

(2)推导过程

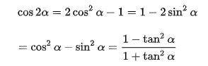
2、余弦形式
(1)公式

(2)推导过程

3、正切形式
(1)公式

(2)推导过程

[数学学习]二倍角公式是数学三角函数中常用的一组公式,下面总结了三角函数的二倍角公式,供大家参考。 1 、二倍角公式 正弦二倍角 sin2 = 2cossin 推导:sin2A = sin(A+A) = sinAcosA + cosAsinA = 2sinAcosA 余弦二倍