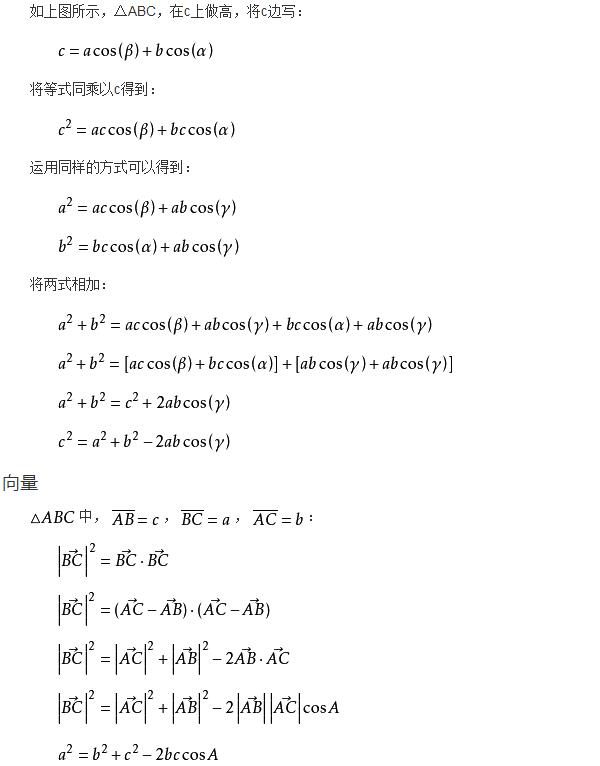
[数学学习]余弦定理,是描述三角形中三边长度与一个角的余弦值关系的数学定理。是勾股定理在一般三角形情形下的推广。 1 、什么是三角形余弦定理 三角形余弦定理是揭示三角形边角关系的重要定理
余弦定理是解三角形中的一个重要定理,可应用于以下两种需求:当已知三角形的两边及其夹角,可由余弦定理得出已知角的对边。当已知三角形的三边,可以由余弦定理得到三角形的三个内角。下面是高三网小编整理的三角形余弦定理公式大全,快收藏起来吧。

求边
余弦定理公式可变换为以下形式:




以上就是小编整理的三角形余弦定理公式大全,希望这些正弦余弦定理知识对你们有帮助的。